3.1. Ácidos nucleicos
Los ácidos nucleicos son biomoléculas complejas con carácter ácido constituidos por C, H, O, N y P. Desempeñan funciones biológicas de trascendental importancia en todos los seres vivos. Contienen información genética, es decir, la información codificada que permite a los organismos desarrollar sus ciclos biológicos, desde su nacimiento a su muerte.
Existen dos tipos de ácidos nucleicos, el ADN o ácido desoxirribonucleico y el ARN o ácido ribonucleico.
En el vídeo aparece la estructura del ADN, observa cómo está formado.
|
|
|
|
| Imagen 38. Autor: National Human Genome Research Institute. Dominio público | Imagen 39. Autor: Antilived. Licencia Creative Commons |
Los ácidos nucleicos son biopolímeros formados por otras subunidades más pequeñas o monómeros, denominados nucleótidos.
Los nucleótidos, a su vez, están constituidos por tres tipos de moléculas:
- Una pentosa, en forma cíclica, que puede ser ribosa o desoxirribosa;
- Un ácido fosfórico, en forma de grupo fosfato.
- Una base nitrogenada derivada de la purina —adenina y guanina— o de la pirimidina —timina, citosina y uracilo—.
Cuando no existe el grupo fosfato, sino sólo una base y una pentosa, se habla de nucleósidos.
![]() |
| Imagen 40. Autor: Proyecto Biosfera. Autorizado su uso educativo no comercial |
Los ácidos nucleicos son cadenas con dos extremos: el 5', con un grupo fosfato que se une al carbono 5', y el extremo 3', en el que hay un radical hidroxilo unido al carbono 3'.
Los nucleótidos se unen mediante enlace fosfodiéster entre el radical hidroxilo del extremo 3' de uno de los nucleótidos y el radical fosfato del carbono 5' de otro.
Algunos nucleótidos se presentan libres en la naturaleza y forman parte de otras moléculas que no son los ácidos nucleicos. En estos casos, el grupo fosfato de los nucleótidos-5'-monofosfato puede unirse a otros grupos y dar lugar a las siguientes combinaciones:
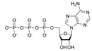
- Forma enlaces ricos en energía con otros grupos fosfato para dar lugar a los nucleótidos difosfato y trifosfato, como el ADP y el ATP, capaces de transportar la energía almacenada en sus enlaces, que son fácilmente hidrolizables.
- Establece un segundo enlace éster con el -OH en posición 3', lo que origina un puente intramolecular y da lugar al AMP cíclico (AMPc), que es una molécula señalizadora que actúa de segundo mensajero entre las moléculas extracelulares portadoras de información —neurotransmisores, hormonas, prostaglandinas, etcétera— y en el interior de la célula.
- Si se une al grupo fosfato de otro mononucleótido o de otra sustancia, da lugar a los nucleótidos no nucleidos que actúan de coenzimas. Por ejemplo, la coenzima A, el FAD (flavín adenín dinucleótido) y el NAD+ (nicotín adenín dinucleótido).
El siguiente enlace te muestra las fórmulas y el macanismo de acción de estos nucleótidos:
Una prueba de tu capacidad de comprensión y atención. ¡A por ella!
¿Sabrías decir a qué moléculas corresponden las siguientes imágenes?
| Imagen A | Imagen B | Imagen C |
|
|
|
|
Imagen 41. Autor: AxelDriken. Licencia CC |
Imagen 42. Autor: Cacycle. Licencia CC
|
Imagen 43. Autor: Deneapol. Dominio público |
