2.1. Lo simplificamos todo
![]() |
| Imagen de JuanJaén bajo licencia Creative Commons |
En el apartado anterior hemos visto como podemos simplificar la información que nos aporta un mapa construyendo un grafo que nos muestre sólo lo que nos interesa. Pero aún podemos simplificarlos más. Podemos olvidarnos de todas las líneas y convertir el gráfico de vértices y aristas en una matriz.
Sí, en una matriz, como las que has visto en el apartado anterior con las tablas. O lo que es lo mismo, cambiar líneas por números. Y claro, como veremos en el siguiente tema, si hay números, seguramente se podrán hacer operaciones con esos números o con esas matrices.
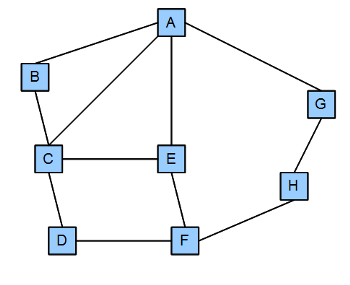
Vámonos otra vez al mapa de distribución de nuestra empresa TRANS VELOX. El grafo lo habíamos simplificado así:
¿Cuál es la matriz de adyacencia?
La matriz de adyacencia de este grafo es:
![]() |
| Imagen de jaenpedia.es bajo licencia Creative Commons |
Existen grafos donde las aristas sólo se pueden recorrer en un sentido o algunas en un sentido y otras en el doble. Si piensas en las carreteras no le encuentras la lógica, pues la carretera está ahí para ir de Montellano a Coripe o de Coripe a Montellano, pero piensa por ejemplo en una cadena de montaje, tras colocar una pieza, después se coloca la otra, pero la segunda no se puede colocar antes que la primera, es decir, la línea que uniría la primera con la segunda sólo se podría recorrer en el sentido de la primera a la segunda.
En los grafos esto se representa con una flechita que indica la dirección, como por ejemplo en este que sigue:
En este grafo podemos ir de A a B pero no al revés, de B a D pero no al revés y de D a A pero no al revés. De A a C sí podemos ir en el doble sentido.
La matriz de adyacencia sería:
Encuentra la matriz que le corresponde a este grafo. Ten en cuenta ahora que el grafo es orientado:

