3. Lanzamiento en parábola
Si te gusta el fútbol y has disfrutado con el Mundial seguro que has visto más de un golazo como este marcado a 42 metros con una parábola increíble, en el último segundo de la final de la prórroga en la Recopa de 1995, marcado por Nayim, jugador del Zaragoza al Arsenal inglés.
Vídeo subido a YouTube por dani2001es.
![]() |
| Imagen de Alessandro Zilio bajo licencia Creative Commons |
Antonio, uno de los empleados de TRANS VELOX en Córdoba, tiene una pequeña discoteca en el centro de la ciudad.
Un día que estuvo en la caseta, invitó al gerente a que se llegara por la noche.
La discoteca abre sus puertas a las nueve de la noche, sin ningún cliente, y las cierra cuando se han marchado todos.
Llamamos x al número de horas que está abierta la discoteca e y al número de clientes que hay en cada momento. Suponemos que la expresión analítica que relaciona al número de clientes con el número de horas que lleva abierta la discoteca es:
y = 60x - 10x2.
- ¿Cuántos clientes tiene a las 10 de la noche? ¿Y a las 12?
- ¿A qué horas hay en la discoteca 80 personas?
- Dibuja la gráfica correspondiente a la expresión anterior.
- Determina el número máximo de clientes que van un sábado por la noche a la discoteca y a qué hora ocurre.
- Un sábado que estuvo Ignacio había menos de 80 personas y más de 50. ¿A qué hora estuvo?
- ¿A qué hora cierra Antonio?
Una función cuadrática es aquella cuya expresión analítica general es de la forma:
y=ax2 + bx + c, con a≠0.
Su gráfica es una parábola de eje vertical.
El coeficiente de x2 (a), informa de la abertura de la parábola respecto al eje de ordenadas OY.
Si a>0, la parábola está abierta hacia arriba.
Si a<0 la parábola está abierta hacia abajo.
El vértice de cualquier parábola de la forma y=ax2 +bx + c es el punto V = (q,p), siendo:
q = -b/2a y p = f(q).O sea, para la primera coordenada aplicamos la fórmula -b/2a y para la segunda, sustituimos en valor obtenido en la función y calculamos la imagen.
Los puntos de corte con el eje de abscisas son (x1 ,0) y (x2 ,0), siendo x1 y x2 las soluciones de la ecuación de segundo grado ax2 +bx + c = 0.
Al aplicar la fórmula, si recuerdas,dentro de la raíz cuadrada aparecía b2 -4ac, por tanto, el número de soluciones y el número de puntos de corte depende del signo de esta operación.
|
|
|
| Si b2 - 4ac >0 la parábola corta en dos puntos al eje OX | Si b2 - 4ac =0 la parábola corta en un punto al eje OX | Si b2 - 4ac <0 la parábola no corta al eje OX |
Una parábola se puede expresar en función de los puntos de corte con el eje de abscisas de la forma:
El punto de corte con el eje de ordenadas se obtiene haciendo x=0, es decir es el punto (0,c).
Completa los espacios en blanco indicando qué número de gráfica corresponde a cada expresión analítica.
![]() |
![]() |
| Gráfica 1 | Gráfica 2 |
|
|
| Gráfica 3 | Gráfica 4 |
a) La gráfica número
corresponde a la función
b) La gráfica número
corresponde a la función
c) La gráfica número
corresponde a la función
d) La gráfica número
corresponde a la función
En las siguientes animaciones del Banco de imágenes y sonidos del ITE, puedes practicar con funciones cuadráticas.
Pincha en la flecha de la animación que hay debajo.



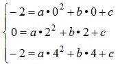
. De la primera
igualdad obtenemos que c= -2. Sustituimos el valor de c en las otras dos igualdades y tenemos
que
, luego a=
, b=2 y c= -2.