5. A pedacitos
![]() |
| Imagen de calafellvalo bajo licencia Creative Commons |
Como recordarás del curso pasado, hay funciones que no se pueden representar con un único tipo de gráfica, ya que ni son lineales en todo su dominio, ni cuadráticas, ni de otro tipo, es decir, hay que definirlas a trozos.
Estas funciones son útiles para representar la gráfica del consumo eléctrico cuando hay una cuota fija, o bien el tiempo de espera en urgencias en un hospital, etc.
En este apartado recordaremos algunas funciones a trozos que seguramente utilizarás en cursos posteriores.
Una función definida por diferentes expresiones analíticas correspondientes a cada una de las partes del dominio se dice que es una función definida a trozos.
Las siguientes gráficas corresponden a funciones lineales definidas a trozos.
Encuentra la expresión analítica de cada una de ellas.
En la siguiente animación del Banco de imágenes y sonidos del ITE, puedes ver como se comporta una función definida a trozos.
La función signo asocia +1 a un número positivo, 0 al número cero y -1 a un número negativo.
La función valor absoluto asocia a cada número el valor que toma cuando prescindimos de su signo.
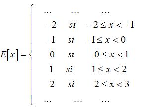
La función parte entera asocia a cada número el entero inmediato inferior o igual que él.
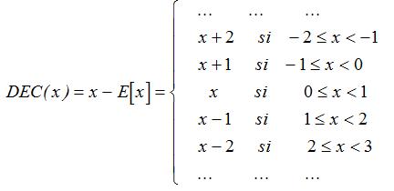
La función parte decimal asocia a cada número su parte decimal, es decir el número menos su parte entera.
