1. Igualdades notables
Sabemos que sumar dos números y elevar la suma al cuadrado no es lo
mismo que elevar cada número al cuadrado y luego sumar los resultados.
![]() |
|
Balcones iguales de SBA73
www.flickr.com
licencia creative commo
|
Se llaman igualdades notables algunas identidades ciertas en el conjunto de los números reales que se forman a partir potencias del binomio
.
| |
|
o productos de los binomios
Modelo geométrico del cuadrado de una suma
Mueve los deslizadores y comprueba los resultados
Estas expresiones sirven para facilitar los cálculos, simplificar algunas operaciones y para factorizar o desarrollar expresiones algebraicas
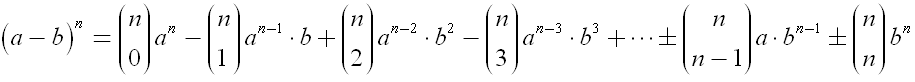
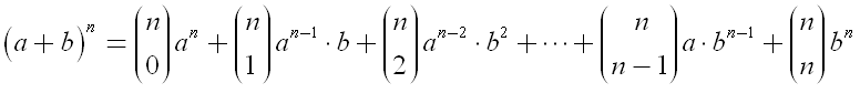
Vamos a generalizar la potencia n-sima de los binomios
y
y vamos a ver que son y que significan las expresiones
